Art 35 Codul Muncii

Codul Muncii Actualizat 2010

Codul Muncii Actualizat 2010

Doc Contract Individual De Munca Cristina B Academia Edu

Doc Contract Individual De Munca Cristina B Academia Edu

Codul Muncii

Codul Muncii

Codul Muncii Itm Salaj

Codul Muncii Itm Salaj

Legea Nr 53 2003 Codul Muncii Actualizat 2007 Inma

Legea Nr 53 2003 Codul Muncii Actualizat 2007 Inma

Codul Muncii Comentat Libraria Ujmag

Codul Muncii Comentat Libraria Ujmag

Codul Muncii Comentat Libraria Ujmag

191 titlul vi formarea profesionala.

Art 35 codul muncii. 329 2009 care limitau cumulul pensiei cu salariul au fost abrogate prin legea nr. B din legea nr. Alexandra caras january 14 2020 codul muncii. 2 fac exceptie de la prevederile alin.

35 din codul de procedură civilă şi art. încheierea contractului individual de muncă art. 6 din convenţia europeană pentru apărarea drepturilor omului s a stabilit că în. Contractul individual de muncă capitolul i.

2 registrul general de evidenta a salariatilor se va inregistra in prealabil la autoritatea publica competenta potrivit legii in a carei raza teritoriala se afla domiciliul respectiv sediul angajatorului data de la care devine document. 5 şi 6 din codul muncii combinat cu art. Varianta tiparita codul muncii. 1 situatiile in care prin lege sunt prevazute incompatibilitati pentru cumulul unor functii.

158 salarizarea titlul iv art. 35 1 orice salariat are dreptul de a munci la angajatori diferiţi sau la acelaşi angajator. 35 din codul muncii 2020 actualizat la zi. Registrul general de evidenta a salariatilor 1 fiecare angajator are obligatia de a infiinta un registru general de evidenta a salariatilor.

Capitolul i încheierea contractului individual de muncă. Cumulul de functii 1 orice salariat are dreptul de a munci la angajatori diferiti sau la acelasi angajator in baza unor contracte individuale de munca beneficiind de salariul corespunzator pentru fiecare dintre acestea. 35 codul muncii in ceea ce priveste posibilitatea cumulului calitatii de pensionar cu cea de salariat este de precizat ca dispozitiile legii nr. Acesta este un fragment din codul muncii din 2003 cumpărați documentul în formă actualizată sau alegeți un abonament lege5 care permite accesul la orice formă actualizată.

35 1 orice salariat are dreptul de a munci la angajatori diferiţi sau la acelaşi angajator în baza unor contracte individuale de muncă beneficiind de salariul corespunzător pentru fiecare dintre acestea.

Rezumat Codul Muncii Universul Fiscal

Rezumat Codul Muncii Universul Fiscal

Codul Muncii Legea Dialogului Social Si 14 Legi Uzuale Actualizat La 1 Septembrie 2019 Editura Hamangiu

Codul Muncii Legea Dialogului Social Si 14 Legi Uzuale Actualizat La 1 Septembrie 2019 Editura Hamangiu

Codul Muncii Forma Tabelara Cu Ultimele Modificari Inspectoratul

Codul Muncii Forma Tabelara Cu Ultimele Modificari Inspectoratul

Lege Nr 53 Din 24 Ianuarie 2003 Actualizataƒ Codul Muncii

Lege Nr 53 Din 24 Ianuarie 2003 Actualizataƒ Codul Muncii

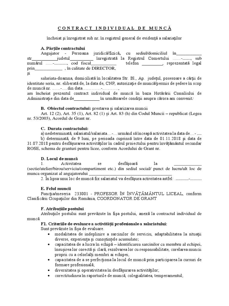
Contract De Munca Rose

Contract De Munca Rose

Http Cdn4 Libris Ro Userdocspdf 771 Tratat 20de 20dreptul 20muncii 20 20eufemia 20vieriu Pdf

Http Cdn4 Libris Ro Userdocspdf 771 Tratat 20de 20dreptul 20muncii 20 20eufemia 20vieriu Pdf

Http Spitalaiud Ro Ro Wp Content Uploads 2018 12 Regulement Intern 06 07 2018 Pdf

Http Spitalaiud Ro Ro Wp Content Uploads 2018 12 Regulement Intern 06 07 2018 Pdf

Codul Muncii Al Republicii Moldova In Conformitate Cu Ultimile Modificari Si Completari Din Monitorul Oficial Al Republicii Moldova Actualizat La 01 02 2019

Codul Muncii Al Republicii Moldova In Conformitate Cu Ultimile Modificari Si Completari Din Monitorul Oficial Al Republicii Moldova Actualizat La 01 02 2019

Modificări In Codul Muncii 14 Zile De Concediu Obligatoriu Pe An Actualitate

Modificări In Codul Muncii 14 Zile De Concediu Obligatoriu Pe An Actualitate

Codul Muncii Ed 2017 Emag Ro

Codul Muncii Ed 2017 Emag Ro

Codul Muncii Itm Bistrita Nasaud

Codul Muncii Itm Bistrita Nasaud

Noul Cod Al Muncii Sunt Interzise Discriminarea Si Hartuirea Iar Munca Suplimentara Neplatita Se Amendeaza Drastic

Noul Cod Al Muncii Sunt Interzise Discriminarea Si Hartuirea Iar Munca Suplimentara Neplatita Se Amendeaza Drastic

Doc Codul Muncii Actualizat Ariela Diaconu Academia Edu

Doc Codul Muncii Actualizat Ariela Diaconu Academia Edu

Codul Muncii Comentariu Md

Codul Muncii Comentariu Md

Codul Muncii Comentat Si Adnotat Costel Gilca Emag Ro

Codul Muncii Comentat Si Adnotat Costel Gilca Emag Ro

Adaugă Pin Pe News Buzau

Adaugă Pin Pe News Buzau

Http Avecopiii Md Wp Content Uploads 2019 11 Regulament Intern Ro Pdf

Http Avecopiii Md Wp Content Uploads 2019 11 Regulament Intern Ro Pdf

Http Www Ivb Ro Anunturi Ivb Contract 20colectiv 20de 20munca 20ivb1 Pdf

Http Www Ivb Ro Anunturi Ivb Contract 20colectiv 20de 20munca 20ivb1 Pdf

Http Www Casan Ro Casdj Media Files Ri 20cas 20dolj 202018 Pdf

Http Www Casan Ro Casdj Media Files Ri 20cas 20dolj 202018 Pdf

Cumul De Functii La Acelasi Angajator

Cumul De Functii La Acelasi Angajator

Http Dialogsocial Gov Ro Wp Content Uploads 2017 01 2017 Grup De Unitati Ccm 1751 10 11 2017pdf Pdf

Http Dialogsocial Gov Ro Wp Content Uploads 2017 01 2017 Grup De Unitati Ccm 1751 10 11 2017pdf Pdf

Https Www Teatrulmateivisniec Ro Site Assets Files 1667 Ri Tmmvs 17 10 2019 Pdf

Https Www Teatrulmateivisniec Ro Site Assets Files 1667 Ri Tmmvs 17 10 2019 Pdf

93381122 Codul Muncii Adnotat

93381122 Codul Muncii Adnotat

Decizie De Incetare Art 31 Al 3 Notificare In Proba

Decizie De Incetare Art 31 Al 3 Notificare In Proba

Source : pinterest.com