Bentuk X 2 Y 1 X 3 Y 4 Dapat Dituliskan Tanpa Eksponen Negatif Menjadi

Bentuk X 2 Y 1 Per X 3 Y 4 Dapat Dituliskan Tanpa Eksponen Negatif Menjadi Brainly Co Id

Bentuk X 2 Y 1 Per X 3 Y 4 Dapat Dituliskan Tanpa Eksponen Negatif Menjadi Brainly Co Id

Bentuk Tersebut Dapat Dituliskan Tanpa Eksponen Negatif Menjadi Brainly Co Id

Bentuk Tersebut Dapat Dituliskan Tanpa Eksponen Negatif Menjadi Brainly Co Id

Bentuk Di Tuliskan Tanpa Eksponen Negatif Brainly Co Id

Bentuk Di Tuliskan Tanpa Eksponen Negatif Brainly Co Id

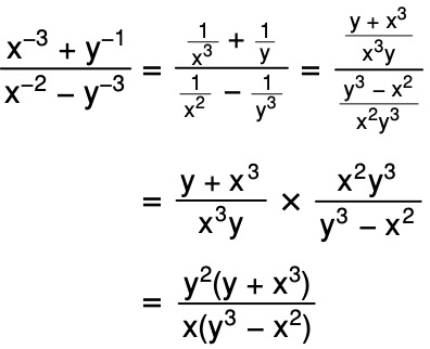
Dapat Dituliskan Tanpa Eksponen Negatif Menjadi Brainly Co Id

Dapat Dituliskan Tanpa Eksponen Negatif Menjadi Brainly Co Id

Bentuk X 3 Y 1 X 2 Y 3 Dapat Ditulis Tanpa Eksponen Negatif Menjadi Mas Dayat

Bentuk X 3 Y 1 X 2 Y 3 Dapat Ditulis Tanpa Eksponen Negatif Menjadi Mas Dayat

Part 1 Pembahasan Pas Mat Minat Kelas X Th 2018 2019 Semarang Youtube

Part 1 Pembahasan Pas Mat Minat Kelas X Th 2018 2019 Semarang Youtube

Part 1 Pembahasan Pas Mat Minat Kelas X Th 2018 2019 Semarang Youtube

Plis Bantuin Dong Soalnya Sekarang Di Kumpulin Nomor 2 3 4 Mohon Bantuannya Brainly Co Id

Plis Bantuin Dong Soalnya Sekarang Di Kumpulin Nomor 2 3 4 Mohon Bantuannya Brainly Co Id

Jim Pkunkjhdkm

Jim Pkunkjhdkm

Bentuk Sederhana Dari X Pangkat Min 1 Y Pangkat Min 1per X Pangkat Min 1 Y Pangkat Min 1 Tolong Brainly Co Id

Bentuk Sederhana Dari X Pangkat Min 1 Y Pangkat Min 1per X Pangkat Min 1 Y Pangkat Min 1 Tolong Brainly Co Id

3 Nyakatan Bilangan Bilangan Berikut Dalam Bentuk Pangkat Positif A 3 A A Pangkat Empat Akar Brainly Co Id

3 Nyakatan Bilangan Bilangan Berikut Dalam Bentuk Pangkat Positif A 3 A A Pangkat Empat Akar Brainly Co Id

3 Bentuk Tex Frac X 2 Y 3 Xy 1 X 3 Y Tex Dapat Dituliskan Brainly Co Id

3 Bentuk Tex Frac X 2 Y 3 Xy 1 X 3 Y Tex Dapat Dituliskan Brainly Co Id

Bentuk 1 2 2 1 2 3 Y X Y X Dapat Dituliskan Tanpa Eksponen Negatif Menjadi A 2 Course Hero

Bentuk 1 2 2 1 2 3 Y X Y X Dapat Dituliskan Tanpa Eksponen Negatif Menjadi A 2 Course Hero

B Tuliskan Dalam Bentuk Pangkat Positif C Tuliskan Dalam Bentuk Pangkat Negatif Tolong Bantu Brainly Co Id

B Tuliskan Dalam Bentuk Pangkat Positif C Tuliskan Dalam Bentuk Pangkat Negatif Tolong Bantu Brainly Co Id

Doc Kartu Soal Marisa Indriani Academia Edu

Doc Kartu Soal Marisa Indriani Academia Edu

Bentuk X 2 Y 3 X 3 Y 1 Dapat Dituliskan Tanpa Eksponen Negatif Menjadi Brainly Co Id

Bentuk X 2 Y 3 X 3 Y 1 Dapat Dituliskan Tanpa Eksponen Negatif Menjadi Brainly Co Id

2 Bentukx 3 1x 2 Y 3dapat Dituliskan Tanpaeksponen Negatif Menjadi Y Y X3 A X Y3 X2 X Y3 Brainly Co Id

2 Bentukx 3 1x 2 Y 3dapat Dituliskan Tanpaeksponen Negatif Menjadi Y Y X3 A X Y3 X2 X Y3 Brainly Co Id

3 Cara Untuk Menyelesaikan Eksponen Wikihow

3 Cara Untuk Menyelesaikan Eksponen Wikihow

Buku Pegangan Siswa Kurikulum 2013

Buku Pegangan Siswa Kurikulum 2013

Kelas X Semester Prof Mahmud Academia Edu

Kelas X Semester Prof Mahmud Academia Edu

Menyayatakan Dalam Bentuk Pangkat Negatif Dan Positif Youtube

Menyayatakan Dalam Bentuk Pangkat Negatif Dan Positif Youtube

10 Matematika Buku Prdoman Guru

10 Matematika Buku Prdoman Guru

1 Nyatakan Logaritma Berikut Dalam Bentuk Pangkat A Pangkat 3 Log 9 2 B Pangkat 5 Log 1 Per Brainly Co Id

1 Nyatakan Logaritma Berikut Dalam Bentuk Pangkat A Pangkat 3 Log 9 2 B Pangkat 5 Log 1 Per Brainly Co Id

Pdf Materi Kelas X Sma Ma Kurikulum 2013 Eksponen Perpangkatan Yayan E Setiawan Academia Edu

Pdf Materi Kelas X Sma Ma Kurikulum 2013 Eksponen Perpangkatan Yayan E Setiawan Academia Edu

Bilangan 2 Pangkat 2015 Ditambah 2 Pangkat 2014 Ditambah 2 Pangkat 2013 Per 14 Setara Dengan 2 Brainly Co Id

Bilangan 2 Pangkat 2015 Ditambah 2 Pangkat 2014 Ditambah 2 Pangkat 2013 Per 14 Setara Dengan 2 Brainly Co Id

Https Encrypted Tbn0 Gstatic Com Images Q Tbn 3aand9gcrxstegiiy3 8 Syvim 6dmlxl1rktoeokcn8fa Lg Usqp Cau

Https Encrypted Tbn0 Gstatic Com Images Q Tbn 3aand9gcrxstegiiy3 8 Syvim 6dmlxl1rktoeokcn8fa Lg Usqp Cau

Doc Bahan Ajar Ronal Desputra Academia Edu

Doc Bahan Ajar Ronal Desputra Academia Edu

Buku Pengantar Fisika Matematik Rinto Anugraha

Buku Pengantar Fisika Matematik Rinto Anugraha

Http Repositori Kemdikbud Go Id 2937 1 Kamus 20matematika 20matematika 20dasar 20 20152ha Pdf

Http Repositori Kemdikbud Go Id 2937 1 Kamus 20matematika 20matematika 20dasar 20 20152ha Pdf

Mengubah Bilangan Berpangkat Bulat Positif Menjadi Bilangan Berpangkat Bulat Negatif Dan Sebaliknya Youtube

Mengubah Bilangan Berpangkat Bulat Positif Menjadi Bilangan Berpangkat Bulat Negatif Dan Sebaliknya Youtube

Pilihan Topik Matematika Ee Cafe Org

Pilihan Topik Matematika Ee Cafe Org

Source : pinterest.com