Cerere Catre Domnul Primar

Scrisoare către domnul primar.
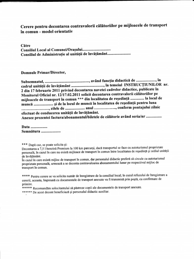
Cerere catre domnul primar. 8 din 1996 privind dreptul de autor şi drepturile conexe a fost modificată semnificativ prin legea nr. Domnule primar în calitate de iubitor al sportului aș vrea să mi răspundeți public la câteva aspecte pe care vreau să le evidențiez. Catre domnul primar domnule primar din moment ce aduceti toti nu vreau sa i numesc in oras cu autobuzele dumneavoastra ar trebui sa aveti grija ca puii oamenilor de la tara sa nu mai vina la blocuri in special in centru sa ne deranjeze linistea de la primele ore ale diminetii si sa lase o mizerie indescriptibila nu cred ca suntem obligati sa le auzim limbajul porcos si ireproductibil pe care. O cerere reprezintă o solicitare formulată în scris și nu trebuie să fie nici prea scurtă dar nici prea lungă mai exact ne trebuie doar o foaie de hârtie format a4 obișnuită.
Adaugati o sesizare stimati cetateni prin intermediul site ului www domnuleprimar ro aveti posibilitatea sa comunicati direct primarului din orasul sectorul dumneavoastra problemele personale sau de interes comunitar va rugam sa completati formularul de mai jos si sa redactati cat mai concis mesajul dumneavoastra. 285 din 2004 prin oug nr. 9 24 2015 10 26 07 am. Eşti pe cale să postezi un mesaj care poate încuraja pirateria şi distribuţia ilegală de materiale pe internet.
Complexe sportive stadioane săli polivalente și toate au fost doar promisiuni. Localitatile din judetul pentru a vedea sesizarile dintr o anumita localitate selectati localitatea din lista de mai jos. Continutul site ului indiferent de zona in care se afla in site si indeferent de tip poate fi utilizat exclusiv in scopuri personale. Pe modele documente info gasesti modele si tipizate pentru orice tip de cerere.
123 din 2005 precum şi prin legea nr. 329 din 2006 iar tu ai putea să te afli în situaţia de a le încălca acum. Semnatura solicitantului la 2 3 cm sub ultimul rând al textului catre marginea din dreapta cererea trebuie sa respecte normele de redactare si specificul stilului administrativ.